Mục lục
Thành phần dưỡng trắng da
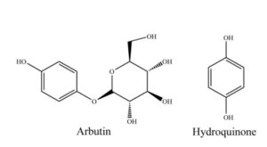
Arbutin
Các mỹ phẩm có công thức Arbutin: toner, lotion, kem, essence, serum, nạ

Arbutin là một thành phần làm trắng da quen mặt trong các mỹ phẩm. Về mặt hoá học, Arbutin chính là một dạng Hydroquinone (1 chất làm trắng da) nhưng phân tử của nó có thêm Glucose. Chính Glucose này là yếu tố quyết định cách làm việc khác nhau của Hydroquinone và Arbutin và đã được FDA xác nhận là thành phần lành tính. Thay vì giết chết các tế bào Melanocytes, Arbutin giúp ức chế enzyme sản sinh ra melanin trong tế bào. Chính bởi cách làm việc khác nhau, Arbutin là chất làm trắng da lành tính hơn và không đem lại các tác dụng phụ không mong muốn như Hydroquinone mặc dù có thể kết quả chậm hơn.
Cơ chế hoạt động của Alpha Arbutin
Các Alpha Arbutin có cơ chế hoạt động thông qua quá trình giải phóng có kiểm soát gây ức chế quá trình oxy hóa của L-tyrosine (hoạt động monophenolase) được xúc tác bởi men tyrosinase và chống lại hoạt động liên kết trong tyrosinase.
Tỷ lệ an toàn của Alpha Arbutin
Alpha Arbutin là thành phần thường xuyên có mặt trong các loại mỹ phẩm có chức năng làm sáng và nâng tone da như kem dưỡng da, giúp mờ thâm, nám, tàn nhang. Đây là hoạt chất có thể tan trong nước và ổn định trong khoảng pH từ 3,5 – 6,5.
Tỉ lệ an toàn của Alpha Arbutin khi sử dụng kết hợp với các chất tẩy tế bào chết hay chất tăng cường thẩm thấu là 0,2% và 2% khi không kết hợp.
Theo các nghiên cứu chỉ ra, sử dụng Arbutin với nồng độ 1% trở lên sẽ cho thấy kết quả rõ rệt và tốt nhất là kết hợp cùng với các chất làm trắng khác như Niacinamide.
Sản phẩm có chứa Alpha-arbutin mang lại kết quả tốt nhất sau khi sử dụng trong ít nhất 2-3 tháng.
Điểm đặc biệt của Alpha Arbutin khiến mọi người yêu thích rộng rãi chính là sự lành tính của nó. Hiện nay, chưa có một nghiên cứu nào cho thấy chắc chắn rằng khi dùng Alpha Arbutin ở lượng lớn và lâu dài có thể làm hại da. Hầu hết nồng độ có trong mỹ phẩm được kiểm soát rất tốt, đều ở mức vừa phải, có thể phát huy tối đa công dụng mà lại an toàn. Nếu bạn muốn tìm sản phẩm trắng da phù hợp với da, không gây tác dụng phụ thì Alpha Arbutin là một lựa chọn sáng suốt.
Golden C – Glutathione
Thành phần hoạt chất công nghệ cao Golden C: là các phân tử Vàng (AU) được chắn thêm các phần tử vitamin C và Glutathione với kích thước siêu nhỏ.
Ngay sau khi chạm lên da, thành phần này sẽ nhanh chóng thẩm thấu vào tầng trung bì, giúp hỗ trợ cải thiện sắc tố da từ sâu bên trong. Vitamin C có khả năng chống oxy hóa và sáng da mạnh mẽ, tham gia trực tiếp vào quá trình hỗ trợ tái tạo collagen nhưng nhược điểm của thành phần này là khó bảo quản do dễ bị oxi hóa, nhờ được gắn bào phân tử’ vàng mà vitamin C trở nên bền vững hơn trong điều kiện bảo quản bình thường hơn.
Glutathione được ví như mẹ của các chất chống oxy hóa, với hàm lượng sử dụng trong serum này, Glutathione cho tác dụng hỗ trợ kiểm soát sắc tố melanin. Nhờ đó theo thời gian sử dụng các vấn đề thâm, sạm, nám, không đều màu da sẽ được cải thiện.

Niacinamide
Niacinamide là một dạng của Vitamin B3, có tác dụng thúc đẩy sự tổng hợp collagen và các axit béo – hai thành phần quan trọng của “hàng rào bảo vệ da”, giúp da có khả năng giữ ẩm tốt hơn và không dễ bị kích ứng.
Các tác dụng chính của Niacinamide như:
- Làm da sáng hơn.
- Cải thiện chức năng giữ ẩm của biểu bì.
- Giảmdầu thừa trên da.
- Giảm mụn, kháng viêm.
- Chống lão hóa, hạn chế nếp nhăn, cải thiện cấu trúc da.
Tranexamic acid
Về cơ bản Tranexamic acid có thể giúp giải quyết ba vấn đề chăm sóc da cứng đầu nhất là sắc tố, vết nám và đồi mồi:
- Điều trị tình trạng nám, sạm da, tàn nhang, cháy nắng, các vết nám xảy ra trong thời kỳ mang thai
- Làm mờ vết thâm sau mụn, giảm sự hình thành sẹo mụn
- Ngăn ngừa tích tụ sắc tố melanin, làm sáng da
- Chống dị ứng, kích ứng da, giảm mẩn đỏ rõ rệt
- Chống viêm, kháng viêm.
- Giảm tình trạng tăng sinh mạch máu đi kèm với nám giúp cho da dịu lại, bớt kích ứng và hỗ trợ điều trị nám được tốt hơn.
- Bảo vệ và xoa dịu làn da bị tổn thương bởi ánh nắng, bụi bẩn, nấm
- Phục hồi làn da bị tổn thương bởi tia UVA / UVB
Xem thêm:
